Kategorie: Aktuelles
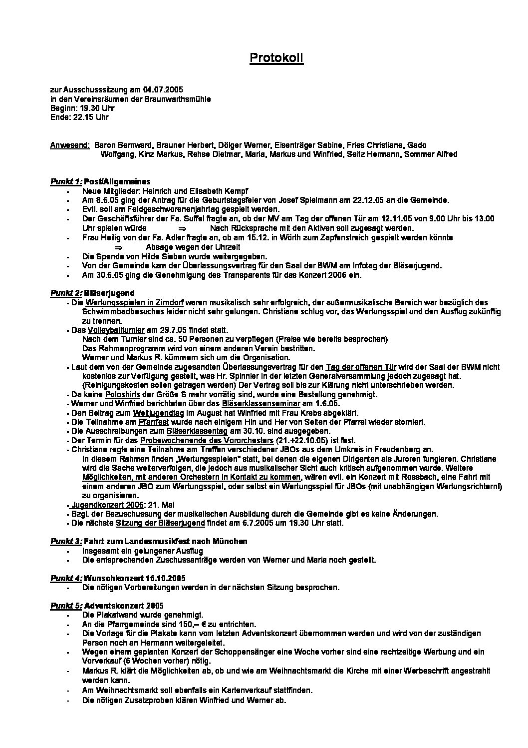
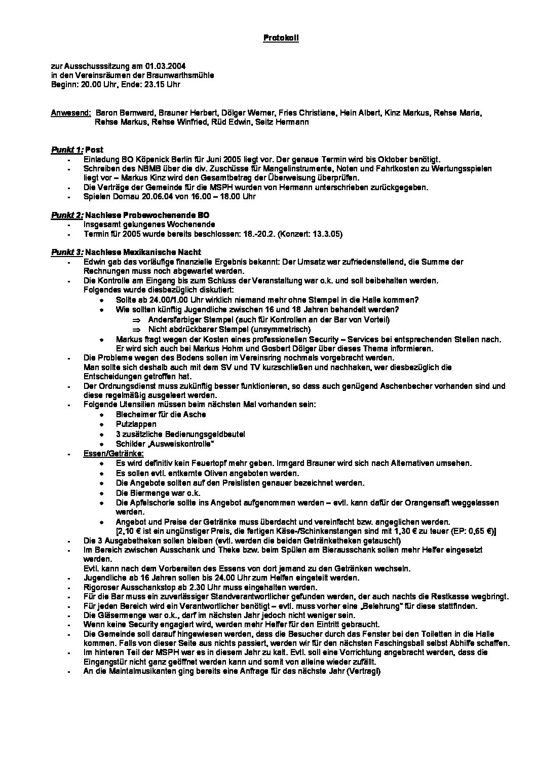
Protokolle 2004
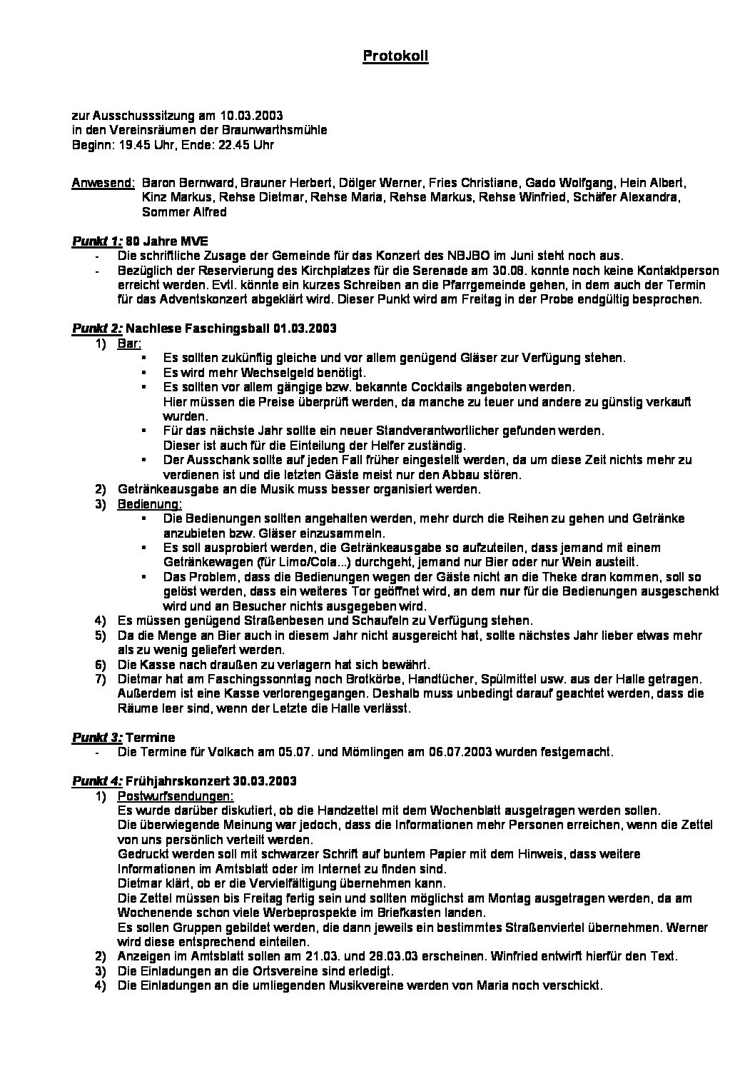
Protokolle 2003
Protokolle 2002
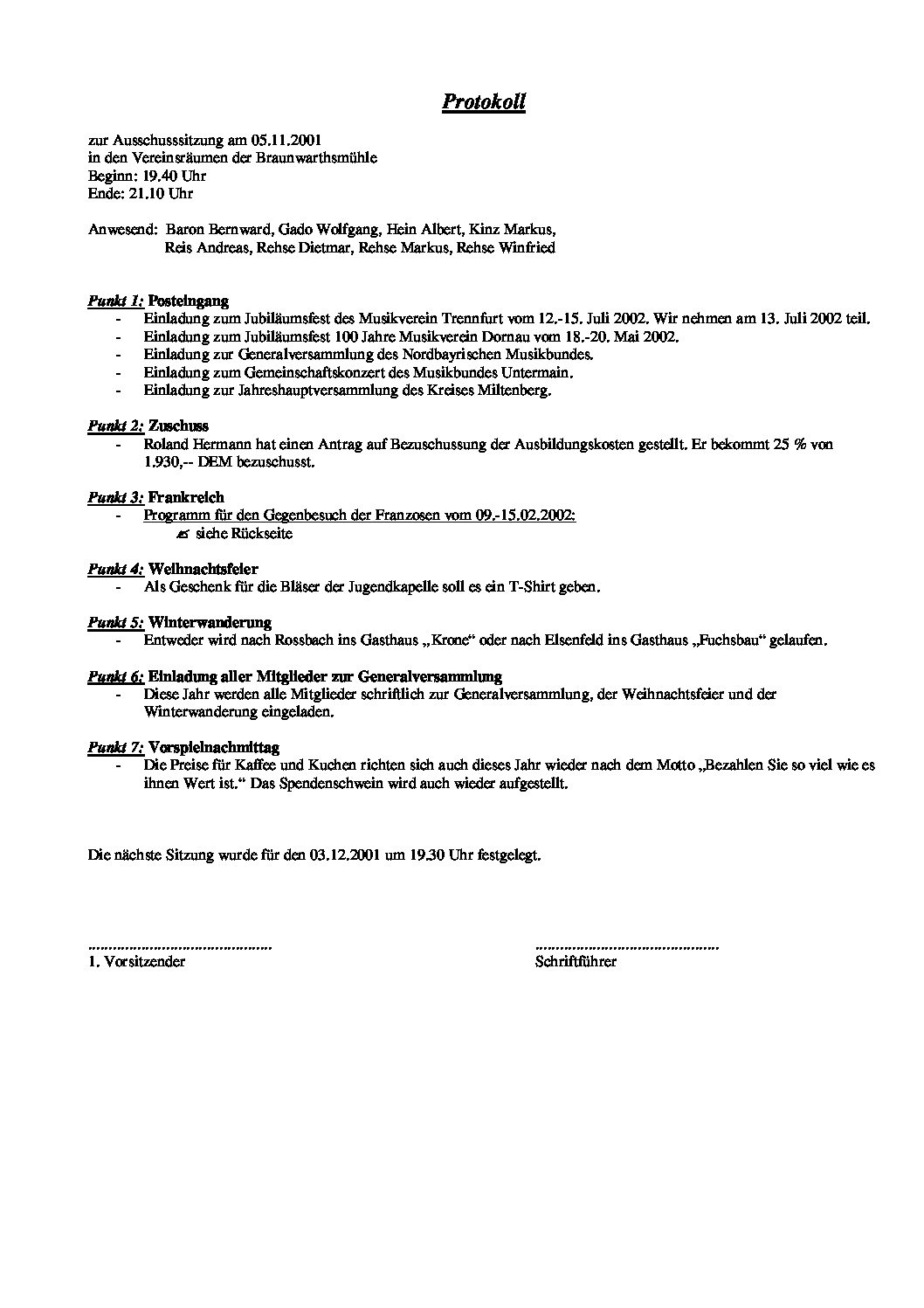
Protokolle 2001
Protokolle 2000
Protokolle 1999
Protokolle 1991
Vielen Dank allen Besuchern von „Symphonie in Blech“
Vielen Dank allen Besuchern des Benefizkonzertes „Symphonie in Blech“ in der Frankenhalle in Erlenbach. Es war uns wie immer eine große Ehre und Freude für Sie spielen zu dürfen.
Vielen Dank auch den Mitgliedern des Rotary Club Obernburg, die die Veranstaltung wie immer perfekt vorbereitet hatten, sowie dem engagierten Moderator Eberhard Schellenberger vom Bayerischen Rundfunk.
Wir freuen uns bereits heute auf die nächste Auflage am 11. November 2017.
Vielen Dank allen Besuchern unseres Jugendkonzertes am 4. Mai
Unsere Nachwuchsmusiker bedanken sich auf das Herzlichste bei allen Besuchern unseres Jugendkonzertes 2016 am 4. Mai.
Vor allem für die neue Bläserklasse war es ein großartiges Erlebnis ihren ersten öffentlichen Auftritt vor solch einer großen Kulisse zu absolvieren.
Auch an die Musiker von Schüler- und Jugendblasorchester ein großes Kompliment für die gezeigt Leistung.
Vielen Dank an die musikalischen Leiter Yvonne Reis und Winfried Rehse sowie das Bedienungs- und Aufbauteam.
Zum Pressebericht zum „Jugendkonzert 2016“